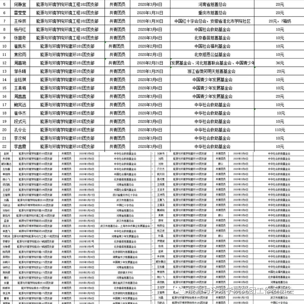
为进一步加强广大师生对疫情防控工作的重视,切实把思想和行动统一到习近平总书记的重要指示精神和党中央决策部署上来,在疫情防控工作中,公司师生积极配合上级指示工作,开展一系列专题主题教育活动,尽力收集公司员工善心捐款人员名单,表彰公司员工志愿者不辞辛苦的奉献,竭力发挥公司基层团组织的组织力、引领力和服务力。
在疫情期间,为认真组织动员公司员工进行思想引导、专题学习、志愿服务等工作,各班班干部积极配合工作,组织同学,开展各项专题教育活动,普及关于疫情防控的安全知识,积极引导同学从疫情防控中的楷模人物和感染事迹中汲取坚忍不拔及无私无畏的爱国品质和精神。
通过开展主题团课学习,意在引导同学将寒假当成自我成长和超越的契机,带领同学向各位逆行者学习,了解他们的感人事迹,感悟青年担当与青春力量。
中国古之以来,最不乏有报国壮志之士。如今国家突遭严疫,许许多多的同学都自发地献出了自己的一份力量。点滴终将汇成海洋,繁星终将点缀星空。每一个善意的举动都会赢得我们的尊重,国家不会忘记每一位中华儿女的付出。
尽管疫情发展如洪荒猛兽般,遏止了员工返校的可能。公司及公司领导却也始终密切关注员工思想、健康动态,以能及时向广老员工传达防控措施、疏导心理情绪、传播健康知识、遏制谣言扩散,引导公司员工知大任、明担当,深入理解“家国一体”、“同心同德”的深刻内涵,引导员工将自己的爱国情怀从精神世界延伸到具体现实生活的实践中去,为这场疫情防控阻击战贡献自己的青春力量。
我们相信,在以习近平同志为核心的党中央坚强领导下,全国上下一盘棋,全国人民一条心,我们一定能打败疫魔,夺取疫情防控阻击战的全面胜利。
